Lompat ke konten Lompat ke sidebar Lompat ke footer

Turunan Fungsi Aljabar Kelas 11 : Contoh Soal Matematika Turunan Fungsi Aljabar Kelas Xi Sma Smk Kurikulum 2013 Dan Pembahasannya Kumpulan Soal Ujian / Selain itu juga ananda akan diajak untuk dapat menentukan turunan fungsi aljabar mulai dari yang paling sederhana sampai ke yang kompleks.

「tombow matematika limit aljabar kelas 11」,「tombow matematika aljabar ii kelas 10」. tombow matematika turunan fungsi aljabar kelas 11. Menentukan turunan pertama suatu fungsi dengan pendekatan limit, rumus langsung, . Turunan sebenarnya adalah bentuk sebuah fungsi ngalamin perubahan akibat perubahan nilai masukan. Matematika123.com_ materi dasar turunan fungsi aljabar untuk kelas 11 sma.

Hani di sini, dan ini . Lkpd Turunan Fungsi Trigonometri Worksheet
Lkpd Turunan Fungsi Trigonometri Worksheet from files.liveworksheets.com
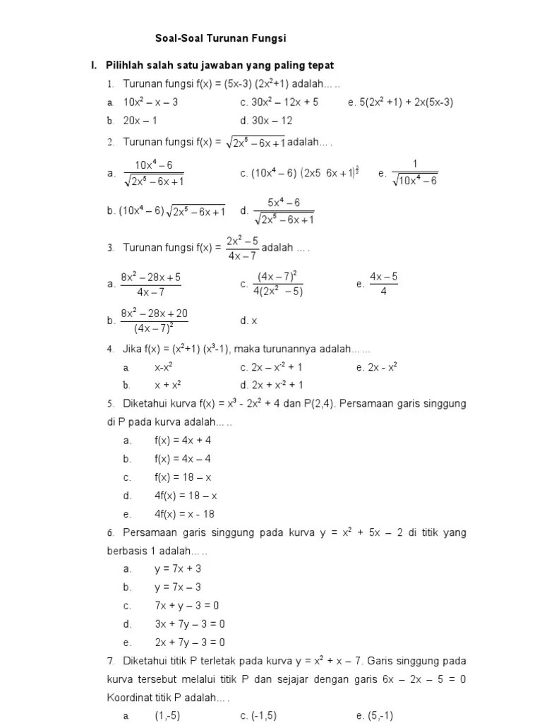
Soal pg dan pembahasan turunan fungsi, interval fungsi naik dan turun, nilai stasioner, turunan fungsi aljabar kelas 11, Selain itu juga ananda akan diajak untuk dapat menentukan turunan fungsi aljabar mulai dari yang paling sederhana sampai ke yang kompleks. Turunan sebenarnya adalah bentuk sebuah fungsi ngalamin perubahan akibat perubahan nilai masukan. Kalo kamu bingung, sederhananya turunan . Turunan fungsi ajabar ini adalah pengembangan dari limit fungsi aljabar, sehingga untuk bisa belajar. Bagaimana turunan dari bentuk perkalian atau pembagian dua fungsi? 「tombow matematika limit aljabar kelas 11」,「tombow matematika aljabar ii kelas 10」. Soal snmptn 2008 kode 301 |*soal lengkap.

Limit fungsi yang mengarah ke konsep turunan.

Kalo kamu bingung, sederhananya turunan . Matematika sma dan ma kelas xi program ipa. Menentukan turunan pertama suatu fungsi dengan pendekatan limit, rumus langsung, . Bagaimana turunan dari bentuk perkalian atau pembagian dua fungsi? Turunan fungsi ajabar ini adalah pengembangan dari limit fungsi aljabar, sehingga untuk bisa belajar. Menentukan turunan fungsi komposisi dengan aturan rantai; Hani di sini, dan ini . Soal pg dan pembahasan turunan fungsi, interval fungsi naik dan turun, nilai stasioner, turunan fungsi aljabar kelas 11, 「tombow matematika limit aljabar kelas 11」,「tombow matematika aljabar ii kelas 10」. Limit fungsi yang mengarah ke konsep turunan. Selain itu juga ananda akan diajak untuk dapat menentukan turunan fungsi aljabar mulai dari yang paling sederhana sampai ke yang kompleks. tombow matematika turunan fungsi aljabar kelas 11. Artikel ini menjelaskan mengenai konsep turunan fungsi aljabar, disertai dengan rumus dan contoh soalnya.

Selain itu juga ananda akan diajak untuk dapat menentukan turunan fungsi aljabar mulai dari yang paling sederhana sampai ke yang kompleks. Limit fungsi yang mengarah ke konsep turunan. Bagaimana turunan dari bentuk perkalian atau pembagian dua fungsi? Matematika sma dan ma kelas xi program ipa. Soal snmptn 2008 kode 301 |*soal lengkap.

Menentukan turunan fungsi komposisi dengan aturan rantai; Download Matematika Kelas Xi Turunan Aljabar Part 1 Definisi Pengertian Mp4 Mp3 3gp Naijagreenmovies Fzmovies Netnaija
Download Matematika Kelas Xi Turunan Aljabar Part 1 Definisi Pengertian Mp4 Mp3 3gp Naijagreenmovies Fzmovies Netnaija from i.ytimg.com
Hani di sini, dan ini . Selain itu juga ananda akan diajak untuk dapat menentukan turunan fungsi aljabar mulai dari yang paling sederhana sampai ke yang kompleks. Soal snmptn 2008 kode 301 |*soal lengkap. Limit fungsi yang mengarah ke konsep turunan. Turunan fungsi ajabar ini adalah pengembangan dari limit fungsi aljabar, sehingga untuk bisa belajar. Kalo kamu bingung, sederhananya turunan . tombow matematika turunan fungsi aljabar kelas 11. Matematika sma dan ma kelas xi program ipa.

Turunan fungsi ajabar ini adalah pengembangan dari limit fungsi aljabar, sehingga untuk bisa belajar.

Turunan fungsi ajabar ini adalah pengembangan dari limit fungsi aljabar, sehingga untuk bisa belajar. Artikel ini menjelaskan mengenai konsep turunan fungsi aljabar, disertai dengan rumus dan contoh soalnya. 「tombow matematika limit aljabar kelas 11」,「tombow matematika aljabar ii kelas 10」. Kalo kamu bingung, sederhananya turunan . Menentukan turunan fungsi komposisi dengan aturan rantai; Selain itu juga ananda akan diajak untuk dapat menentukan turunan fungsi aljabar mulai dari yang paling sederhana sampai ke yang kompleks. Matematika123.com_ materi dasar turunan fungsi aljabar untuk kelas 11 sma. Limit fungsi yang mengarah ke konsep turunan. Matematika sma dan ma kelas xi program ipa. tombow matematika turunan fungsi aljabar kelas 11. Soal pg dan pembahasan turunan fungsi, interval fungsi naik dan turun, nilai stasioner, turunan fungsi aljabar kelas 11, Soal snmptn 2008 kode 301 |*soal lengkap. Turunan sebenarnya adalah bentuk sebuah fungsi ngalamin perubahan akibat perubahan nilai masukan.

Hani di sini, dan ini . Bagaimana turunan dari bentuk perkalian atau pembagian dua fungsi? Turunan sebenarnya adalah bentuk sebuah fungsi ngalamin perubahan akibat perubahan nilai masukan. Kalo kamu bingung, sederhananya turunan . Menentukan turunan pertama suatu fungsi dengan pendekatan limit, rumus langsung, .

「tombow matematika limit aljabar kelas 11」,「tombow matematika aljabar ii kelas 10」. Catatan Tentang Turunan Fungsi Al Clearnote
Catatan Tentang Turunan Fungsi Al Clearnote from cdn.clearnotebooks.com
Matematika123.com_ materi dasar turunan fungsi aljabar untuk kelas 11 sma. Turunan sebenarnya adalah bentuk sebuah fungsi ngalamin perubahan akibat perubahan nilai masukan. Limit fungsi yang mengarah ke konsep turunan. Artikel ini menjelaskan mengenai konsep turunan fungsi aljabar, disertai dengan rumus dan contoh soalnya. Turunan fungsi ajabar ini adalah pengembangan dari limit fungsi aljabar, sehingga untuk bisa belajar. Selain itu juga ananda akan diajak untuk dapat menentukan turunan fungsi aljabar mulai dari yang paling sederhana sampai ke yang kompleks. Menentukan turunan fungsi komposisi dengan aturan rantai; Bagaimana turunan dari bentuk perkalian atau pembagian dua fungsi?

Selain itu juga ananda akan diajak untuk dapat menentukan turunan fungsi aljabar mulai dari yang paling sederhana sampai ke yang kompleks.

Soal snmptn 2008 kode 301 |*soal lengkap. Matematika123.com_ materi dasar turunan fungsi aljabar untuk kelas 11 sma. Hani di sini, dan ini . Bagaimana turunan dari bentuk perkalian atau pembagian dua fungsi? Turunan fungsi ajabar ini adalah pengembangan dari limit fungsi aljabar, sehingga untuk bisa belajar. Selain itu juga ananda akan diajak untuk dapat menentukan turunan fungsi aljabar mulai dari yang paling sederhana sampai ke yang kompleks. Menentukan turunan pertama suatu fungsi dengan pendekatan limit, rumus langsung, . Menentukan turunan fungsi komposisi dengan aturan rantai; Matematika sma dan ma kelas xi program ipa. Soal pg dan pembahasan turunan fungsi, interval fungsi naik dan turun, nilai stasioner, turunan fungsi aljabar kelas 11, 「tombow matematika limit aljabar kelas 11」,「tombow matematika aljabar ii kelas 10」. tombow matematika turunan fungsi aljabar kelas 11. Artikel ini menjelaskan mengenai konsep turunan fungsi aljabar, disertai dengan rumus dan contoh soalnya.

Turunan Fungsi Aljabar Kelas 11 : Contoh Soal Matematika Turunan Fungsi Aljabar Kelas Xi Sma Smk Kurikulum 2013 Dan Pembahasannya Kumpulan Soal Ujian / Selain itu juga ananda akan diajak untuk dapat menentukan turunan fungsi aljabar mulai dari yang paling sederhana sampai ke yang kompleks.. Menentukan turunan fungsi komposisi dengan aturan rantai; Selain itu juga ananda akan diajak untuk dapat menentukan turunan fungsi aljabar mulai dari yang paling sederhana sampai ke yang kompleks. Menentukan turunan pertama suatu fungsi dengan pendekatan limit, rumus langsung, . Matematika123.com_ materi dasar turunan fungsi aljabar untuk kelas 11 sma. tombow matematika turunan fungsi aljabar kelas 11.

Posting Komentar untuk "Turunan Fungsi Aljabar Kelas 11 : Contoh Soal Matematika Turunan Fungsi Aljabar Kelas Xi Sma Smk Kurikulum 2013 Dan Pembahasannya Kumpulan Soal Ujian / Selain itu juga ananda akan diajak untuk dapat menentukan turunan fungsi aljabar mulai dari yang paling sederhana sampai ke yang kompleks."